| Herkunftsort: | China Guangdong Zhongshan |
| Markenname: | BLK 7985 China |
| Modellnummer: | Schwarzes 7985 |
| Min Bestellmenge: | 100kg |
|---|---|
| Verpackung Informationen: | 10kg/bag Aluminium- lamelliertes Plastik-bag+carton |
| Lieferzeit: | 10 Werktage |
| Zahlungsbedingungen: | T/T, L/C, D/A, D/P, Western Union |
| Versorgungsmaterial-Fähigkeit: | 300 Tonnen |
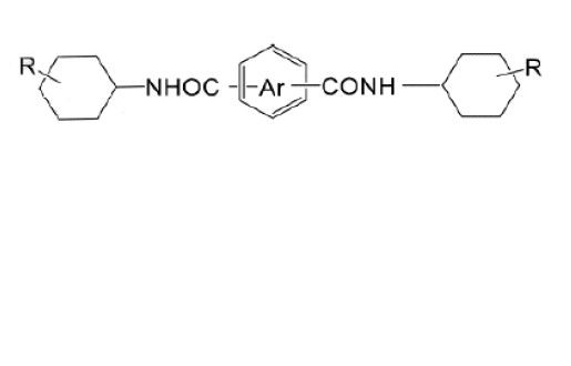
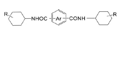
| Chem-Struktur: | N, N'-dicyclohexyl-2,6-naphthalene dicarboxamide | CAS: | 153250-52-3 |
|---|---|---|---|
| Anwendung: | Pp.-Eigentumsänderung | Chemischer Name: | (Beta) ß nucleating Mittel |
| Vorbildliches Name: | Schwarzes 7985 | Compund: | Aryl- Amidmittel |
| Reinheit: | 99% | Synonyme: | TMB-5 |
| Hervorheben: | TMB-5 pp.,das Mittel erklärt,153250-52-3 pp. |
||
• Klärungsmittel Schwarzen 7985 für pp.
Klärungsmittelhersteller China-Spitze.
Freie Probe durch Fedex UPS für Versuch.
Schnelles Verschiffen von China.
Eigenschaften
• Das nucleating Mittel BLK-7985 (TMB-5) ist eine Repräsentativvielzahl des nucleating Mittels des Amid-artigen Polypropylenβkristalles. Es kann sich in der Harzschmelze bei der Verarbeitungstemperatur des Polypropylens (pp.) auflösen und kristallisiert mit der Abnahme der Schmelztemperatur um, um Stange-förmige Kristalle mit größerem Längenverhältnis zu bilden und die Kernbildung von pp. mit β-kristallenen Kristallen so verursachen, um die Schlagfestigkeit, die Hitzeablenkungstemperatur und die Mikroporosität von Produkten zu verbessern. Demgegenüber hat BLK-7985 (TMB-5) eine stabile Struktur und den β-kristallenen Inhalt von pp. wird beeinflußt nicht durch wiederholte Schmelzverdrängung.
Anwendung
• Weitverbreitet in PP-R Rohren, Spritzenprodukte und trockener Lithium-Batterie-Membranvorbereitungsprozeß und es hat guten synergistischen Effekt mit Calciumcarbonat. Darüber hinaus hat BLK-7985 eine Kernbildung, die Effekt auf polybutene-1 (PB-1) fördert.
Körperliche und chemische Eigenschaften
• Tatsächliches additon hängt vom Polymer und von den Eigenschaften von Endprodukten ab.
• Oben genannte Eigenschaften werden durch genügende Laborversuche überprüft, während es nicht die Garantie ist. Im Gebrauch von dem Prozess der spezifischen Menge, auf der Formulierung von Ausrüstungsprozessen zu basieren und von anderer umfassender Erwägung.
Paket u. Lieferung
• lamellierte Aluminiumplastiktasche 10kg/bag, feuchtigkeitsfest + Papierkarton oder oder customerized
• 100-1000KGS 5 Tage, 1000-10,000 KILOGRAMM 15 Tage etc.
Behandlung und Lagerung
• Gespeichert im trockenen und innerhalb des Lagerraums gelüftet, verhindern Sie direktes Sonnenlicht, etwas Stapel und niederzulegen.
• Schutzkleidung sollte getragen werden, wenn Betreiber behandeln, oder herausgestellt werden, dieses Produkt. Sehen Sie das MSDS für weiteren ausführlichen Rat.
Ansprechpartner: Mr. SUPING. JIANG
Telefon: +86 135 2473 2599
Landwirtschaftliches Schädlingsbekämpfungsmittel CASs 62-73-7 DDVP, DDVP EC 1000 für Pflanzenschutz
Niedrige Giftigkeit Insektenvertilgungsmittel-niedriger Rückstand 100% EC CAS 62-73-7 DDVP
Schnellreagierendes Dichlorvos-Insektenvertilgungsmittel CASs 62-73-7 50% für Baumwollblattläuse
Pflanzenschutz 77,5% EC-Dichlorvos-Schädlingsbekämpfungsmittel CAS 62-73-7
Schädlingsbekämpfung agrochemisches CAS 62-73-7 DDVP sprühen für Moskito-Fliegen
Insektenvertilgungsmittel CASs 62-73-7 95% DDVP, Obstbaum-Insektenvertilgungsmittel
Körper-C4H7Cl2O4P Dichlorvos-Insektenvertilgungsmittel des Hausgebrauch-organisch
Starker Effekt-Kontakt, der arsenhaltige DDVP Spray-Chemikalie 10ppm tötet
Landwirtschaftliche 200-547-7 99% Dichlorvos-Schädlingsbekämpfungsmittel-Flüssigkeit
Vertragen Sie Dichlorvos-Spray Vergiftung CASs 62-73-7 für öffentliches Gesundheitswesen
Insekten-Steuerdichlorvos-Insektenvertilgungsmittel-Spray für Nahrungsmittelspeicherbereiche